8914 | Rajesh Kumar |  | | CUSTOMER RELATIONSHIP MANAGEMENT NEEDS SPECIFIC ATTENTION |
| |
|
8651 | Prof. S. R. Dhere |  | | DIGITAL INDIA: OPPORTUNITY FOR SERVICE SECTOR |
| |
|
8624 | Dr. A. G. POLICEPATIL |  | | PROFILE AND PROBLEMS OF SUGARCANE GROWERS |
| |
|
8528 | प्रा.शोभा विष्णुपंत खंदारे |  | | सोलापूर जिल्हातील असंघटित क्षेत्राच्या स्थितीचा अभ्यास |
| |
|
8428 | Ms. Priyanka Sahni |  | | LITERATURE REVIEW ON“HEALTHCARE SERVICE QUALITY” AND “HEALTHCARE SERVICE QUALITY AND PATIENT SATISFACTION” |
| |
|
8207 | Dr. S. V. Shinde |  | | POWERFUL WOMEN IN INDIAN BUSINESS, ACHIEVEMENTS & PROBLEMS |
| |
|
8203 | Gundappa and Ashok Antony D’souza |  | | MIGRATION AND RURAL LIVELIHOOD IN INDIA |
| |
|
8187 | Wilson P. Kandre |  | | A REVIEW ON THE OCCUPATIONAL STRESS AMONG WOMEN WORKING IN POLICE DEPARTMENT |
| |
|
8164 | Dr. Archana Chaudhari |  | | FLIPPED CLASSROOM: A NEW PARADIGM IN EDUCATION |
| |
|
8135 | गोविन्द सोनकर |  | | संयुक्त राष्ट्र संघः विश्व शांति एवं भारत की भूमिका |
| |
|
8091 | डॅा. गणेश विष्णू लोखंडे |  | | ‘‘युवकांमधील व्यसनाधिनताः चिंता आणि चिंतन ’’ |
| |
|
8063 | Tausif Biswas |  | | A STUDY ON POLITICAL AWARENESS AMONG MUSLIM COMMUNITY IN MALDA DISTRICT. |
| |
|
8051 | Harsh Pradipkumar Joshi |  | | FORENSIC SCIENCE : INTRODUCTION, HISTORY ALONG WITH DEVELOPMENT IN INDIA |
| |
|
8046 | प्रा. श्रीमती डाॅ. चव्हाण एस. आर. |  | | महाराष्ट्रातील महिला सक्षमीकरण योजना आणि त्याची फलश्रृती |
| |
|
8036 | प्रा.डाॅ.भगवान माने |  | | आंबेडकरी राजकीय चळवळ आणि युतीचे राजकारण |
| |
|
8017 | Dr. N. Chandrashekar |  | THE STUDY ON TECHNICAL CHALLENGES LYING BEFORE TODAY’S ASTROLOGERS AND ASTROLOGICAL ORGANISATIONS, ASTROLOGICAL INSTITUTIONS, ASTROLOGICAL FEDERATIONS IN TAKING ASTROLOGY INTO FUTURE.naltrexone information go vivitrol uk |
| |
|
7991 | Dr. Prakasha K. |  | | STUDY OF COGNITIVE AND AFFECTIVE PROCESSES IN MULTIMEDIA LEARNING |
| |
|
7931 | Dr. D. G. Nejkar |  | | INFLUENCE OF SOCIAL MEDIA ON INDIAN TEENAGER |
| |
|
7910 | प्रा. दत्तु दादासाहेब शेंडे |  | | भारतातील स्थानिक स्वराज्य संस्थांचा विकासः एक चिंतनात्मक अभ्यास |
| |
|
7825 | Thomas Oommen |  | | THE LIFE AND WORK OF MAR ABIMALEK TIMOTHEUS |
| |
|
7824 | Anand. J and Dr. Chitra Devi. S. |  | | EFFECTIVENESS OF E-RECRUITMENT ADOPTION:- A WALK TOWARDS PAPERLESS HR. |
| |
|
7818 | प्रो. डाॅ. संगीता जगताप |  | | डाॅ. परशुराम शुक्ल की बाल कथाएॅं |
| |
|
7813 | Arsheed Ahmad Ganie and Dr. M. Deivam |  | SOCIETY, POLITICS AND PEACE: ROLE OF NATIONAL CONFERENCE IN JAMMU AND KASHMIRnaltrexone information go vivitrol uk |
| |
|
7811 | Prof. D. Usha Rani and Dr. D. Ramana |  | | A STUDY OF SOCIO-ECONOMIC STATUS OF ELDERLY WOMEN WITH FOCUS ON SUPPORT NETWORKS |
| |
|
7808 | Shyamunder Abuj |  | | A RESEACH STUDY ON ANALYSIS OF COMPUTER VIRUSES IN JALNA DISTRICT INSTITUTE AND ORGANIZATION |
| |
|
7807 | Santosh Madhusing Chavan |  | | “A RESEARCH STUDY OF ROUTING PROTOCCOL IN MANETS: AODV,DSR,TORA” |
| |
|
7801 | प्रा. डॉ. संजय प्रभाकर ढाके |  | | काश्मीर समस्या (Kashmir Problem) |
| |
|
7800 | Mr. Rushikesh Kumbhar |  | | OTHER ASPECT OF SPORT TECHNOLOGY |
| |
|
7799 | Bhavyrani T. |  | | RASANISHPATTI IN RAAGALAP |
| |
|
7798 | Basma Majid |  | | EMERGENCE OF BLACK FEMINISM |
| |
|
7797 | Pinki Rani, Dr. B. Dhanda, Ritu Devi and Renu Bala |  | | FATHER OCCUPATION: A BIG FACTOR FOR CHILDREN’S BEHAVIOUR DEVELOPMENT |
| |
|
7792 | Sangetaa |  | | SKY YOGA FOR HARMONIOUS LIFE |
| |
|
7790 | रमेश मनोहर लमाणी |  | | “पत्रकारिता के परिप्रेक्षा में दलित चिंतन” |
| |
|
7789 | Mohd Ashraf Ganaie and Shafiqa Mohiuddin |  | | SEXUAL HARASSMENT AT WORKPLACE |
| |
|
7788 | S. Sudha and Dr. E. S. Kavitha |  | | USABILITY OF SOCIAL NETWORKING SITES AMONG STUDENTS OF PRIYADARSHINI ENGINEERING COLLEGE, VANIYAMBADI: A STUDY |
| |
|
7786 | Gangamma Yadawad and Dr. Meena Chandawarkar |  | | CHALLENGES FACED BY WOMEN ENTREPRENEURS OF BAGALKOT DISTRICT IN MICRO AND SMALL SCALE INDUSTRIES. |
| |
|
7785 | Dr. F. Elayaraja and Dr. S. Prabhu |  | | A STUDY ON QUALITY OF WORK LIFE AT FUTURE GENERALI INDIA INSURANCE CO LTD IN THANJAVUR DISTRICT |
| |
|
7783 | Mr. Sushil Kumar and Dr.A.K. Yadav |  | | HYDRODYNAMIC LUBRICATION OF MICRO-POLAR FLUID IN A SLIDER BEARING |
| |
|
7781 | Dr. Neeta Gupta |  | | COGNITIVE STYLES AMONG RURAL AND URBAN ADOLESCENTS: A COMPARATIVE STUDY |
| |
|
7780 | Ms. Maru Jasvanti Meghji Premila and Dr. Shefali Pandya |  | | INTERACTIVE EFFECT OF META-COGNITIVE LANGUAGE LEARNING STRATEGIES-BASED INSTRUCTION IN ENGLISH AND SOCIO-ECONOMIC STATUS OF STUDENTS ON THEIR ACADEMIC ACHIEVEMENT IN ENGLISH |
| |
|
7779 | योगेश्वर प्रसाद शर्मा, डाॅ. सतीश कुमार सिॅह |  | | ‘‘माध्यमिक स्तर के छात्रों की शैक्षिक रूचि का उनके व्यक्तित्व (अन्तर्मुखी-बहिर्मुखी) आयामों के सन्दर्भ में अध्ययन’’ |
| |
|
7777 | Dr. B. S. Salunkhe |  | | MOBILIZATION OF FUNDS BY NACC SOCIETIES -A CASE STUDY |
| |
|
7776 | Ruhi Munjal and Dr. Anu Kundal |  | | A STUDY ON ADJUSTMENTS OF MALE V/S FEMALE ON THE BASIS OF SIBLING RELATIONSHIP DURING ADOLESCENCE |
| |
|
7775 | Nagaraj Shankarappa and Dr. Suresh Jange |  | | “OPPORTUNITIES OF SOCIAL NETWORKING IN LIBRARIES” |
| |
|
7774 | Dr. A. Punnaiah |  | | SUSTAINABLE DEVELOPMENT IN AGRICULTURE: ROLE OF BIO-TECHNOLOGY |
| |
|
7773 | डॉ. सौ. अर्चना माधव अंभोरे |  | | भारतीय संगीत आणि सौंदर्यशास्त्र |
| |
|
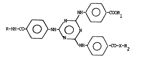
7769 | Aruna Parteti, S. N. Limay, O.P. Choursiya and Surendra Kumar Sonwane |  | | DESIGN, SYNTHESIS, CHARACTERIZATION AND BIOLOGICAL EVALUATION OF S-TRIAZINE DERIVATIVES |
| |
|
7765 | Dr. Smitha M. Bhavikatti |  | | ECONOMIC DEVELOPMENT DURING THE VIJAYANAGAR EMPIRE – A HISTORICAL STUDY |
| |
|
7764 | Dr. Ramesh Sandhu |  | | SUSTAINABLE DEVELOPMENT & ENVIRONMENTAL ISSUES |
| |
|
7763 | Sumita D/O Sh. Kuldip Dogra and Dr Jagdeep Kaur |  | | EFFECT OF BRAIN BASED LEARNING STRATEGIES ON ACHIEVEMENT AMONG ADOLESCENTS |
| |
|
7762 | Mrs. Shraddha Prasad Kulkarni |  | | “FAST MOVING CONSUMER GOODS (FMCG) FOSTERS ECONOMIC EVOLUTION” |
| |
|
7758 | Ms. P. Y. Mulla |  | | AGILE -AN INNOVATIVE APPROACH IN MARKETING |
| |
|
7757 | प्राचार्य डॉ.वैशाली सू.रोकडे |  | | संत तुकाराम आणि संत कबीर यांच्या अभंगातील जातीय-धर्मभेदावरील साम्यविचार |
| |
|
7756 | Mantu Kalita |  | | A STUDY ON ENVIRONMENTAL EDUCATION AND AWARENESS AMONG HIGH SCHOOL TEACHERS WITH SPECIAL REFERENCE TO GOALPARA DISTRICT OF ASSAM. |
| |
|
7755 | Deepa Malage and Prof. D.M.Madari |  | | IMPACT OF DEVELOPMENT EXPENDITURE ON GROSS STATE DOMESTIC PRODUCT IN KARANTAKA STATE |
| |
|
7754 | Ms. Deepa S. Patil |  | | WOMEN ENTREPRENEURS - A NEED FOR ACQUISITION OF SOFT SKILLS |
| |
|
7748 | Archana S. Magdum (Kurane) |  | “MARKETING ENVIRONMENT OF SELF HELP GROUP PRODUCTS”, A RETROSPECT.naltrexone information go vivitrol uk |
| |
|
7747 | Astha |  | | LISTENING COMPREHENSION A COMPARATIVE STUDY OF SENIOR SECONDARY STUDENTS OF GOVERNMENT SCHOOLS OF DELHI (CAPITAL CITY) AND SONIPAT (A HARYANA CITY). |
| |
|
7746 | Venkata Chalapathi G. and Dr. S. Suthakar |  | | ANALYSIS OF AEROBIC CAPACITY AND MUSCULARA STRENGTH ENDURANCE ON THE SPECIFIC FITNESS TRAINING AMONG THE TRIBAL AND NON-TRIBAL SCHOOL BOYS |
| |
|
7745 | उत्तरा रतनसिंग तडवी |  | | महाराष्ट्रीय लोकसंगीत-एक दृष्टीक्षेप |
| |
|
7741 | Dr. Dhrub Kumar Dwivedi |  | | MUNICIPAL SOLID WASTE MANAGEMENT IN REWA CITY (M.P.) |
| |
|
7740 | Dr. A . Sathiyaraj and Dr. I. Muthuchamy |  | AWARENESS AND ATTITUDE OF PRIMARY TEACHERS TOWARDS THE INTRODUCTION OF CHILD RIGHTS EDUCATION IN THE SCHOOL CURRICULUMnaltrexone information go vivitrol uk |
| |
|
7738 | डाॅ. नेहा निरंजन |  | | भारत-अमेरिका आर्थिक संबंध |
| |
|
7735 | Dr. Rajratna Rajeshwar Durge |  | | “THE EFFECT OF SPECIFIC TRAINING PROGRAMME ON LAGS EXPLOSIVE STRENGTH OF TAEKWONDO PLAYER ” |
| |
|
7734 | डॉ. ढास. डी. के. , श्री. दादासाहेब जयवंतराव काटे |  | | ‘‘बीड जिल्हयातील नियंत्रित बाजारपेठांचे कार्ये’’ |
| |
|
7732 | Mr. M. Rajkumar and Dr. T. Santhanam |  | | EFFICACY OF EXPRESSIVE WRITING THERAPY (COGNITIVE BASED) IN MANAGING DEPRESSION AND ANXIETY |
| |
|
7730 | Akash Deep |  | | STEPHEN.L.TALBOTT’S REPRESENTATION OF “DREAM” AND “WAKEFULNESS” IN AWAKENING FROM THE PRIMORDIAL DREAM |
| |
|