8939 | Priyanka Pandey and Dr. Sunil Kumar Batra |  | | FACTORS INFLUENCING ATTITUDE OF INVESTOR TOWARDS SAVINGS AND INVESTMENT DECISION: AN EMPIRICAL STUDY OF UTTARAKHAND |
| |
|
8917 | Dr. Shinde Tukaram Vitthal |  | | A GEOGRAPHICAL SPATIAL STUDY OF FACTORS INFLUENCING GROWTH AND DEMAND FOR TOURISM |
| |
|
8881 | Dr. Vasanti C. Iyer |  | | INTERNAL AUDITING : A TOOL OF CONTROL |
| |
|
8878 | Mr. Yogesh S. Gawali and Dr. Anilkumar L. Rathod ; Supervisor , Principal, Seth G. B. Murarka Arts and Commerce College, Shegaon. (M.S.) |  | | A STUDY OF HEALTH INSURANCE AGENTS IN WESTERN VIDARBHA REGION FACED VARIOUS TYPES OF PROBLEMS SUCH AS UNAWARENESS OF CUSTOMERS REGARDING HEALTH INSURANCE |
| |
|
8877 | प्रा. कल्पना कांतीलाल पटेल |  | | रामटेक तालुक्यातील ग्रामपंचायत व नगर पंचायत समिती मधील महिला पदाधिकाÚयांचा आर्थिक व सामाजिक विकासचे अध्ययन |
| |
|
8875 | प्रा. गणेश दादाजी तुरक |  | | यवतमाळ जिल्हा परिषद अंतर्गत शेतक-यांकरीता राबविण्यात येण्या-या योजना विषयक विविध आर्थिक समस्याचे विश्लेषणात्मक अध्ययन |
| |
|
8857 | Prof. Dr. B. A. Kamble |  | | SHAKESPEARE’S PHILOSOPHY OF HUMAN LIFE REFLECTED IN HIS DRAMATIC POETRY |
| |
|
8849 | K.B. Nagarnaik |  | | HISTOMORPHOLOGICAL STUDIES DURING VITELLOGENESIS IN AQUATIC BEETLE CYBISTER TRIPUNCTATUS OL. (COLEOPTERA: DYTISCIDAE) |
| |
|
8844 | B. S. Wankhede |  | | INDIAN FINANCE SYSTEM AND CREDIT CONTROL POLICY ROLE OF RBI |
| |
|
8838 | Karruna Santoshasing Pardeshi |  | | PREVALENCE OF GASTRO-INTESTINAL TAPEWORMRAILLIETINA FOUND IN GALLUS DOMESTICUS |
| |
|
8835 | प्रा.डाॅ.सौ.फैमिदा शब्बीर बिजापूरे |  | | अन्य लोक साहित्य - (लोकोक्तियाॅं, मुहावरे, पहेलियाॅं आदि) |
| |
|
8830 | डॉ. गजानन गोपालराव बाबडे |  | | उमरेड तालुक्यातील रोजंदारी तत्वावर काम करणाऱ्या कामगारांच्या आर्थिक समस्यांचे अध्ययन |
| |
|
8826 | Dr. M. B. Sonkusare |  | | LOWERING INTEREST RATES, ITS IMPACT ON SOCIETY & ECONOMY |
| |
|
8800 | Dr. Manik K. Thitte |  | | AN ANALYTICAL STUDY OF INDIAN ECONOMY IN AGRICULTURE SECTOR |
| |
|
8654 | Shri. Vishal Lahu Pawar |  | | SPORTS EQUIPMENTS AND TECHNOLOGY |
| |
|
8473 | Pro.Dr. Vandana Abhij Bhanap |  | | सोलापुरातील वाहतूक संदेशवहन आणि दळणवळण |
| |
|
8363 | Meenaxi Patil |  | | INTERACTION EFFECT OF STUDY HABITS AND READING READINESS ON READING ACHIEVEMENT |
| |
|
8333 | V. Hemalatha |  | | CHENCHU TRIBE PARTICIPATION IN MGNREGS IN KURNOOL DISTRICT |
| |
|
8332 | K. Madhavi |  | | THE STATUS OF SCHEDULED COMMERCIAL BANKS IN INDIA |
| |
|
8331 | Dr. Ramamohana Reddy Appannagari |  | | ECOLOGICAL IMBALANCES CAUSES AND CONSEQUENCES |
| |
|
8303 | धरवेश कठेरिया, निरंजन कुमार, नीरज कुमार सिंह, प्रणव मिश्र, पदमा वर्मा, अविनाश त्रिपाठी |  | | फेसबुक उपयोगकर्ता के दायित्व और सीमाएं |
| |
|
8301 | डाॅ. भागीरथ |  | | हरियाणावी मध्य कालीन संत साहित्य के दादू पंथ में आध्यात्मिक चिंतन |
| |
|
8269 | डाॅ. प्रवीण बनसोड |  | | विश्वतत्वाचा शोध घेणारी केशवसुतांची सामाजिक कविता |
| |
|
8264 | डॉ. संतोष कु-हे , सहा.प्रा. आरडले एस.डी. |  | | २१ व्या शतकातील जनसंपर्क आणि लोकप्रशासन |
| |
|
8242 | Dr. Devidas B. Waydande |  | | THE HISTORY OF EARLY INDIA: SUMMARY TO CASTE AND SECT |
| |
|
8231 | प्रा. डॉ. रमेश धनराज जाधव |  | | तिसरे रघुजी भोसलेंची धार्मिक सहिष्णूता व त्यांच्या दरबारातील मुस्लिम सेवक |
| |
|
8227 | K. Lugendra Pillai and Prof. B. Nagaraju |  | | WOMEN EMPOWERMENT THROUGH SELF HELP GROUPS IN CHITTOOR DISTRICT OF ANDHRA PRADESH |
| |
|
8215 | Dr. Indiragandhi A. K. |  | | WOMEN EMPOWERMENT IN OUR SOCIETY |
| |
|
8205 | Dr. S. V. Shinde |  | | EVALUATION OF LOANS AND ADVANCES OF COMMUNITY DEVELOPMENT CORPORATIONS IN SOLAPUR DISTRICT |
| |
|
8202 | प्रा.सौ.सविता शिवलिंग मेनकुदळे |  | | ममता कालिया के उपन्यासों मे चित्रित परिवर्तित सामाजिक जीवन |
| |
|
8201 | प्रा.डाॅ. सौ. निलीमा राऊत (कोहळे) |  | | डाॅ. बाबासाहेब आंबेडकरांचे शेती विषयक विचार |
| |
|
8199 | Dr. Rajbhanu Patel |  | | IMPACT OF DEMONETIZATION IN INDIAN ECONOMY |
| |
|
8198 | प्रदीप कुमार तिवारी, डाॅ. सतीश कुमार सिंह |  | | माध्यमिक स्तर के विद्यार्थियों की शैक्षिक रूचि का अध्ययन |
| |
|
8197 | Aroon Sharma |  | | POVERTY DURING THE BRITISH RULE |
| |
|
8193 | B. Yubhashini and Dr. S. Dhinesh Babu |  | | ANALYSIS ON MAJOR DIMENSIONS OF EMPLOYMENT EMPOWERMENT IN BHEL, TRICHY. |
| |
|
8192 | Rayees Ibrahim Lone and Dr. S.Subramani |  | | IMPACT OF CEMENT INDUSTRIAL EMISSION ON AGRICULTURAL POLLUTION: A CASE STUDY OF JK CEMENT INDUSTRIAL PLANT, KASHMIR, INDIA |
| |
|
8182 | डॉ. पुष्पेन्द्र कुमार मिश्र |  | | भ्रष्टाचार, जन-आन्दोलन और मीडियाः भारतीय सन्दर्भ |
| |
|
8178 | प्रा.मल्लिनाथ अंजुनगीकर |  | | दशहतवाद |
| |
|
8175 | R. Udhaya Mohan Babu and Dr G. Kalaiyarasan |  | | AWARENESS OF HIGHER SECONDARY STUDENTS ON ELECTRONIC MEDIA AT SIVAGANGA DISTRICT |
| |
|
8172 | Mrs. M. Hema Ananthi, Mrs. B. Kavitha and Miss. R. Rajalakshmi |  | | INTERNET AWARENES AMONG THE COLLEGE TEACHERS IN PHYSICS AT KOZHIKODE DISTRICT |
| |
|
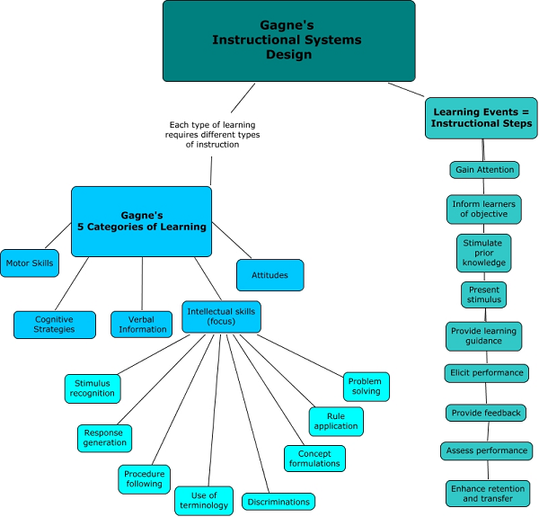
8171 | Mrs. K. Nalini, Mrs. S. Vanithamani and Mrs. V. Geetha |  | | THEORETICAL PERSPECTIVES OF E-LEARNING MODULES IN BIOLOGY WITH SPECIAL REFERENCE TO GAGNE’S INSTRUCTIONAL DESIGN |
| |
|
8161 | Deokule Tanaji Sambhaji |  | | KAMALA DAS’ POETRY: A CONFESSIONAL TONE WITH FEMININE SENSIBILITY |
| |
|
8157 | Shaikh Nikhat Ara Mushtaque Ahmed |  | | "AIJAZ NABI KARIGAR SAHAB KI SAMAJI KHIDMAT" |
| |
|
8156 | M. Janani |  | | PERIOD OF THE ARMISTICE AND VIOLATION OF THE BRITISH IN THE MYSOREANS’ AFFAIRS, 1783-1784 |
| |
|
8155 | B. Daniel |  | | THE INTRODUCTION OF HINDI AND GROWTH OF TAMIL NATIONALISM IN TAMIL NADU |
| |
|
8154 | डॉ. महासिंह पूनिया व यशवन्ती |  | | दक्षिण हरियाणा के लोकगीतों में वेशभूषा |
| |
|
8152 | K. Mohanasundaram and Dr. L. George Stephen |  | | CONSTRUCTION OF A TOOL MEASURE SOCIAL ADJUSTMENT OF TEACHER EDUCATORS |
| |
|
8150 | Madan Mohan Sharma |  | | A BRIEF HISTORY – THE INDIAN INDEPENDENCE ERA |
| |
|
8148 | Dr. Adinath Gade |  | | SPATIO TEMPORAL PERSPECTIVE OF SUGAR INDUSTRY IN KOLHAPUR DISTRICT OF MAHARASHTRA (INDIA) |
| |
|
8147 | Dr. Vikas Prajapati |  | | USING SPSS AN INTERACTIVE HANDS-ON APPROACH : BOOK REVIEW |
| |
|
8146 | डाॅ. पूनम शर्मा, प्रो. उषा धुलिया |  | | पाठय-सहगामी क्रियाओं में भाग लेने वाले तथा भाग न लेने वाले विद्यार्थियों की शैक्षिक सन्तुष्टि का तुलनात्मक अध्ययन |
| |
|
8144 | G. M. Vijayalakshmi |  | | AN INTERACTION EFFECT OF STUDY INVOLVEMENT, HOME CLIMATE AND ACHIEVEMENT MOTIVATION ON ACADEMIC ACHIEVEMENT OF TRIBAL STUDENTS |
| |
|
8141 | Htayra Wuntha Linkarya and Dr. S. Thanigaivelan |  | | THE THINGS MAKE FAME AND ATTENDANT: BASED ON THE BUDDHA’S TEACHING |
| |
|
8139 | Raghuwanshi A. R., P. S. Patil and S. G. Chhaba |  | | STUDY OF DRAGONFLY DIVERSITY FROM WASHIM REGION OF VIDHERBHA MAHARASHTRA, INDIA |
| |
|
8138 | प्रा. गायत्री सोपान गाडेकर |  | | स्त्रीवादी चळवळ दिशा आणि दशा |
| |
|
8136 | Paresh Vasantlal Dalal |  | | THERMAL CONDUCTIVITY OF GEL GROWN STRONTIUM OXALATE |
| |
|
8134 | Rambabu Dangi and Dr. Ramakant Bharadwaj |  | | FIXED POINT THEOREMS IN FUZZY METRIC SPACES |
| |
|
8132 | Dahatre R. S., Patil P. S. and S. G. Chhaba |  | PRELIMINARY STUDY OF FLYING INSECTS IN WASHIM REGION OF MAHARASHTRA, INDIAnaltrexone information go vivitrol uk |
| |
|
8131 | S. Prasanna , R. Renukadevi and K. Malarkodi |  | | AN ADOPTION OF GREEN MARKETING PRACTICES IN THE ORGANISATIONS AND SOCIETY- A CRITICAL ANALYSIS |
| |
|
8130 | पुंडगे भिमराव दलितराव |  | | भारतीय समाज जीवनावर फास्टफुडचा वाढता प्रभाव: एक समाजशास्त्रीय अभ्यास |
| |
|
8128 | Dr. Md. Athar Hussain |  | | ANALYSIS OF ACADEMIC COUNSELOR’S OPINION ABOUT THE TEACHER EDUCATION PROGRAMMES OFFERED THROUGH DISTANCE MODE BY UNIVERSITIES |
| |
|
8125 | Mr. Berungikar Dhanraj Rambhau |  | | “A COMPARATIVE STUDY OF ENGINEERING EDUCATION IN INDIA UNDER VARIED MANAGEMENT” |
| |
|
8123 | प्रा. डॉ. बाळासाहेब गार्डी |  | | महिपतीबुवा ताहराबादकर यांच्या चरित्रलेखनातील आशयातील वैविध्य |
| |
|
8122 | प्रा.डाॅ. बी.एन. पस्तापूरे, मारोती गोविंदराव हिरवे |  | | मराठवाडयातील कापसाच्या कृषी उत्पादकतेचा भौगोलिक अभ्यास (2004 ते 2006) |
| |
|
8117 | Kiran Shankar Pawar |  | | FARMERS SUICIDE IN INDIA AND MAHARASHTRA |
| |
|
8115 | Dr. Sandeep D. Morande |  | ENGINEERING EDUCATIONAL STREAM STUDENTS EMOTIONAL INTELLIGENCE RELATION TO THEIR ADJUSTMENTnaltrexone information go vivitrol uk |
| |
|
8114 | Dr. Ajay Surana and Anita Jain |  | | TRENDS IN RESEARCHES RELATED TO ICT IN EDUCATION |
| |
|
8095 | S. Sasikala and Dr. N. S.Vijayalakshmi |  | | REVELATION OF THE SELF: EXPLORING THE HEART OF PRENTIS AND PAULA IN GRAHAM COLIN SWIFT’S SHUTTLECOCK AND TOMORROW |
| |
|
8093 | Dr. K. Manivannan |  | | POOJAS AND FESTIVALS OF PALANI SRI PERIYANAYAHI TEMPLE |
| |
|
8088 | Sunita M. Patil and Dr. V. B. Kodag |  | | BANCASSURANCE IN INDIA: OPEN ARCHITECTURE – PROS AND CONS |
| |
|
8087 | Dr. K. Manikandan |  | | A STUDY OF ENVIRONMENTAL ATTITUDE, ENVIRONMENTAL BEHAVIOUR AND ENVIRONMENTAL AWARENESS AMONG B.Ed. STUDENT TEACHERS IN TAMILNADU STATE |
| |
|
8085 | Dr. S. Shalini and R. Lavanya |  | | A STUDY ON FINANCIAL PERFORMANCE OF PRIMARY AGRICULTURAL CO-OPERATIVE CREDIT SOCIETY LTD AT VELLIANGADU |
| |
|
8082 | डॉ. ऐकता डेंगरें |  | | बुन्देसलखण्डीस लोकवाद्य एवं लोकगीत के सांगीतिक तत्वव |
| |
|
8079 | Sri. Rudresh B. S. |  | | “A STUDY OF LEADERSHIP BEHAVIOUR OF HEADS OF SCHOOLS IN RELATION TO ORGANIZATIONAL CULTURE”. |
| |
|
8077 | Thippeswamy J.M. and Prof. (Smt.) Shailaja H.M. |  | | SHAKTIVISHISHTAADVAITA : A PATH WAY TO RATIONAL AND SPIRITUAL EDUCATION. |
| |
|
8076 | Beyene Seleshi Mitiku |  | | CIRCADIAN TIME STRUCTURE |
| |
|
8075 | M. Mamatha |  | | WILLIAM DALRYMPLE’S SEARCH FOR THE SACRED AMONG THE INDIAN SECTS OUTSIDE THE MAINSTREAM |
| |
|
8072 | Dr. Rahul |  | | ATTITUDE OF B.ED. STUDENTS TOWARDS TEACHING PRACTICE-A STUDY OF B.ED. COLLEGES IN KURUKSHETRA |
| |
|
8067 | ओम प्रकाश बैरवा |  | | अंधेर नगरी में रंग प्रयोग |
| |
|
8066 | Sanjivani Mule Pawar |  | | ग्रामीण कादंबरी : १९४७ – १९७५ |
| |
|
8065 | प्रा.डाॅ.अशोक एम. पवार |  | | ‘‘डाकू समस्या एक अनुशीलन’’ (जंगल जहाँ शुरु होता है के विशेष संदर्भ में) |
| |
|
8059 | Rathakrishnan P. |  | | SWAMI VIVEKANANDA’S CONCEPTION OF HUMANISM |
| |
|
8058 | E.Vaniswari and Dr. R. Natarajan |  | | A STUDY OF DRINKING WATER SUPPLY IN TIRUCHENDUR TALUK |
| |
|
8055 | Dr. Milind Tayade |  | | CHALLENGES AND IMPACT OF BREXIT |
| |
|
8047 | Debashri Banerjee |  | | EUTHANASIA: THE MORALITY BEHIND |
| |
|
8043 | Jayakar Sodagiri |  | | THE GEMS AND JEWELRY INDUSTRY OF U.S.A.: INDIA |
| |
|
8042 | प्रा. डॉ. राजाराम राठोड |  | | मराठी भाषा संवाद: वक्तृत्व कौशल्य उपयोजनाचे महत्व |
| |
|
8040 | A. Sudha and Dr. J. Ravi |  | | AN ECONOMIC STUDY OF SOLID WASTE MANAGEMENT WITH SPECIAL REFERENCE TO THOOTHUKUDI DISTRICT |
| |
|
8039 | Nutan Kumari |  | | STATUS OF ELEMENTARY EDUCATION IN MUZAFFARPUR DISTRICT IN BIHAR |
| |
|
8038 | A. Vanaja |  | | IMPACT OF ORGANIZATIONAL CULTURE OF PRIMARY HEALTH CARE CENTRES ON PERFORMANCE IN A SELECT DISTRICT OF TELANGANA STATE. |
| |
|
8030 | Dr. C.S. Somanvanshi,प्रो. (प्रि.) नरन्तक शर्मा |  | | ‘‘भगवान श्रीकृष्ण की पौराणिक द्वारिका और गोमतीनदी; आद्यैतिहासिक एक अध्ययन’’ |
| |
|
8027 | Mr. Vaibhav S. Bhalerao and Dr. Girish Katkar |  | | ADOPTING E-FINANCE TRANSACTIONS: A CRITICAL ANALYSIS OF DECISION FACTORS WITH SPECIAL REFERENCE TO VIDHARBHA |
| |
|
8026 | S.Nirmala |  | | A DESCRIPTIVE STUDY ABOUT HOSPITAL ACQUIRED CONDITIONS IN INPATIENT SERVICES IN HOSPITAL |
| |
|
8025 | Younus Mohammad and Dr. Sachin H Chple |  | | EFFECT OF DIFFERENT INTENSITY AEROBIC EXERCISE ON SELECED BIO-MOTOR PERFORMANCE OF MIDDLE AGE MAN |
| |
|
8015 | S. Pondyselvi and Dr. P. C. Naga subramani |  | | DEVELOPMENT AND STANDARDIZATION OF TEACHER’S PROFESSIONAL COMPETENCY SCALE (TPCS) |
| |
|
8014 | Dr. Bhurelal Patidar, Dr. Dinesh kumar Gupta and Shine Shaikh3 |  | | A STUDY OF LOGISTIC SUPPLY CHAINS IN E-COMMERCE ( With Respect to Indore city) |
| |
|
8013 | प्रा‐डॉ. माधव जाधव , प्रा‐कृष्णा सुदामा इंगळे |  | | दुष्काळी परिस्थिती बाबत ग्रामीण कांदबरीकारांनी निर्माण केलेले प्रश्न एक अभ्यास |
| |
|
8009 | गणेश विठ्ठल मोताळे |  | | वि. वा. शिरवाडकरांच्या नाट्यलेखनातील सामाजिक भान व संदर्भ |
| |
|
8008 | नानासाहेब चंद्रभान पवार |  | | अहमदनगर जिल्ह्यातील तालुकानिहाय दरडोई उत्पन्नाचा अभ्यास |
| |
|
8007 | Mhaske Ashwini Chandrakant and Dr. Rasal Ramchandra Gyanu |  | | अहमदनगर जिल्ह्यातील प्रमुख तृणधान्य पिकांच्या उत्पादनातील बदल: एक अभ्यास (2004.05 ते 2013.14) |
| |
|
8006 | प्रा. डाॅ. युवराज श्रीराम मानकर |  | | व्यवस्था परिवर्तनासाठी हुंदाडी |
| |
|
8005 | Iftikar Sharief |  | | HISTORICAL IMPORTANCE OF RAISEN DISTRICT WITH SPECIAL REFRENCE TO SANCHI STUPA |
| |
|
8003 | Shobha Rani and Sunita Sethi |  | | ECOFEMINISM : DEVASTATION OF EEARTH AND RUKMANI’ S SUFFERINGS IN NECTAR IN A SIEVE |
| |
|
8002 | K. Ramachandrudu |  | | MAJOR PROBLEMS OF RURAL ARTISANS: A STUDY |
| |
|
7998 | Vijay B. Mahadik and N. S. Mali |  | | REDUCING POWER AND FERRIC REDUCING ANTIOXIDANT POWER OF SOME CULTIVARS OF SAFFLOWER UNDER THE PATHOGENESIS OF FOLIAR FUNGAL DISEASE COMPLEX |
| |
|
7996 | Kum. Tayamma Nagappa, Dr. K. P. Martin |  | | EFFECT OF SIX WEEK AEROBIC TRAINING ON PHYSICAL FITNESS COMPONENTS OF SECONDARY SCHOOL CHILDREN |
| |
|
7995 | Ravichandra Walikar and Dr. S.N.Hullannavar |  | | ATAL BIHARI VAJPAYEE: A ROLE MODEL FOR PARLIAMENTARIANS |
| |
|
7990 | Dr. Prakasha K. |  | | EFFECTIVENESS OF DIAGNOSIS BASED REMEDIATION ON ATTAINMENT OF MLL IN FRACTIONS, DECIMALS AND PERCENTAGES COMPETENCY OF MATHEMATICS AMONG V STANDARD STUDENTS |
| |
|
7988 | प्रा.गोपाल राजाराम पाटील |  | | ग्रंथालयात सोशल नेटवर्किंगचा वापर |
| |
|
7986 | डॉ. ईश्वर सिंह सागवाल |  | | ‘गुरु ब्रह्यानन्द की वाणी में सत्संगति की महिमा’ |
| |
|
7984 | Nguyen Dinh Danh |  | | THE CONTRIBUTION OF BUDDHIST MEDITATION TO THE CURRENT PROBLEMS IN SOCIETY |
| |
|
7981 | Bharati P. Charantimath and Dr. Anil V. Bomagonda |  | | EFFECTIVENESS OF CONCEPT ATTAINMENT MODEL ON CREATIVITY IN MATHEMATICS AMONG SECONDARY SCHOOL STUDENTS |
| |
|
7976 | डॉ. ओघड लखमनभाई झाला |  | | भारतीय नारी: अस्मिता और अधिकार |
| |
|
7975 | डॉ. एन. बी. सूर्यवंशी |  | | ऐतिहासिक लातूर परिसर- एक शोध |
| |
|
7974 | Hemant R. Sawant |  | | ECONOMIC STATUS OF MILK PRODUCERS IN WALWA TAHSIL OF SANGLI DISTRICT |
| |
|
7972 | Dr. Renu Rana |  | | ANTIBACTERIAL AND ANTIFUNGAL ACTIVITY OF WILD EDIBLE MUSHROOM Morchella conica Pers. FROM NORTH WEST HIMALAYAN REGION |
| |
|
7961 | Mr. N. M. Patil |  | | AGRICULTURAL PRODUCTIVITY IN THE COMMAND AREA OF DOODHGANGA IRRIGATION PROJECT IN KOLHAPUR DISTRICT: A SPATIO-TEMPORAL ANALYSIS |
| |
|
7960 | Bhosale Suresh Rajaram |  | | EFFECT OF PESSIMISTIC AND OPTIMISTIC ATTITUDE ON PERSONALITY CHARACTERISTICS OF INTERUNIVERSITY CRICKET PLAYERS |
| |
|
7959 | Prof. Sagar R. Pawar and Dr. Vasant B. Kodag |  | | A STUDY OF SHOPPER’S PREFERENCE WITH REFERENCE TO ORGANIZED STORES IN SANGLI AND KOLHAPUR CITIES |
| |
|
7955 | Dr. Seema Jaiswal |  | | महात्मा गांधी राष्ट्रीय ग्रामीण रोजगार गारंटी योजना में महिलाओं की भूमिका: दुर्ग जिले के विशेष संदर्भ में |
| |
|
7936 | Dr. D. G. Nejkar |  | | A COMPARATIVE ANALYSIS OF ON-LINE AND CLASSROOM-BASED INSTRUCTIONAL FORMATS FOR TEACHING SOCIAL WORK RESEARCH |
| |
|
7924 | Mr. Siyad.B.R, Mr. Muneer. P and Lijesh Kumar P |  | | ANALYSIS OF SELECTED ANTHROPOMETRIC CHARACTERISTICS ON MALE ATHLETES AMONG DIFFERENT SPORTS DISCIPLINES |
| |
|
7923 | प्रा. डॉ. संजय प्रभाकर ढाके. |  | | उंच प्रदेशातील युद्धतंत्र – कारगील युद्ध – एक अभ्यास |
| |
|
7912 | डाॅ. अजय करकरे, संजय कडूसकर |  | | एकल व सांघिक खेळ खेळणा-या खेळाडूंच्या राशींच्या आधारावर व्यक्तिमत्वाचे तुलनात्मक अध्ययन |
| |
|
7908 | Dr. Wazir Singh |  | | BAREFOOT TECHNICIANS UNDER MAHATMA GANDHI NREGA- A SOCIO-ECONOMIC STUDY OF BFTS IN HARYANA |
| |
|
7906 | प्रा. डॉ. भानुसे कारभारी लक्ष्मण |  | | कन्नड येथील महानुभाव मंदिर |
| |
|
7905 | Kallappa J. Mahajan , Shravan Y. Jadhav and Sitaram K. Chavan |  | | SYNTHESIS, CHARACTERIZATION AND ACOUSTICAL STUDY OF FLUORO METHYL CHALCONE |
| |
|
7904 | Kum.Kalavati.Poti and Dr. K. P. Martin |  | | EFFECT OF MEDITATION AND AEROBIC EXERCISES ON SELECTED PHYSIOLOGICAL AND PSYCHOLOGICAL VARIABLES OF SECONDERY SCHOOL CHILDREN |
| |
|
7903 | Mrs. Anupama Oka |  | | TO ASSESS THE EFFECTIVENESS OF PLANNED TEACHING VERSUS INFORMATION BOOKLET ON THE SELECTED ASPECTS OF CARE FOR ANTENATAL MOTHERS DIAGNOSED WITH HIGH BLOOD PRESSURE: A COMPARATIVE STUDYOUZ.aspx">read naltrexone order |
| |
|
7899 | Le Thi Dieu Loan |  | | BODHISATTVA PRACTICE: THE FOUNDATION OF ENGAGED BUDDHHISM |
| |
|
7898 | Dr. Girisha V. J. |  | | EX-SERVICEMEN CONTRIBUTORY HEALTH SCHEMES: AN OVERVIEW WITH SPECIAL REFERENCE TO MYSORE DISTRICT |
| |
|
7896 | ओम प्रकाश बैरवा |  | | “दुसरी परम्परा की खोज के संदर्भ में परम्परा की अवधारणा” |
| |
|
7892 | Pramod S. and Eakanath Rathod |  | | “LEARNING STYLES OF LIBRARY AND INFORMATION SCIENCE STUDENTS: A CASE STUDY OF GULBARGA UNIVERSITY, KALABURAGI” |
| |
|
7891 | Dr. Amandeep Singh and Sandeep |  | | PERSONALITY TRAITS BETWEEN COMBAT AND NON-COMBAT SPORTS: A COMPARATIVE ANALYSIS |
| |
|
7890 | Archana M. and Dr. Laxman Kawale |  | | WOMEN AND SELF-EMPLOYMENT WITH SPECIAL REFERENCE TO BEAUTICIANS |
| |
|
7889 | Dr. Deepak Modi |  | | NEW TRENDS IN ELECTION CAMPAIGN IN INDIA (A study on voters in Sagar M.P.) |
| |
|
7888 | Subash Chandra Pattnaik and Maitrayee Rout |  | | IMPACT OF TALENT MANAGEMENT ON EMPLOYEE ENGAGEMENT, RETENTION AND VALUE ADDITION IN ACHIEVING ORGANIZATIONAL PERFORMANCE |
| |
|
7886 | डाॅ.संतोष खिराडे |  | | संशोधनातील सांख्यिकीची आॅनलाईन सोडवणूक - एक अभ्यास Online solution of statisits in reaearch: A Study |
| |
|
7885 | Prof. Satesh Balbhim Kadam |  | | प्राचीन काळातील भारतीय विज्ञान व तंत्रज्ञान एक अभ्यास |
| |
|
7884 | प्रा. श्रीमती पोटकुले एच.टी. |  | | मन्नू भण्डारी की कहानियों में मूल्य के बोध |
| |
|
7882 | महेश कुमार |  | | औषधि एवं चमत्कारिक उपचार से सम्बद्ध विज्ञापन प्रकाशन एवं पाठक मनोविज्ञान (झुंझुनूं जिले के विशेष संदर्भ में विश्लेष्णात्मक अध्ययन) |
| |
|
7881 | M.Somathasan and V.Naveenraj |  | | THE STUDY OF SYLLABLE STRUCTURE IN ENGLISH: AN INNOVATIVE LEARNING AND TESTING TOOL BASED ON LINGUISTIC APPROACH |
| |
|
7879 | Dr. Vineet Singh |  | | OPERATING LEVERAGE – WITH SPECIAL REFERENCE |
| |
|
7878 | Dr. Ramesh Sandhu |  | | DEVELOPING PROFESSIONAL LEARNING AMONG TEACHER EDUCATORS. |
| |
|
7877 | Muhammed Jamshad. KC., Shanil. C and Mohammed Sameer C |  | “MOTIVATIONAL FACTORS IN SPORTS: A STUDY AMONG TRACK AND FIELD, HOCKEY AND SWIMMING ATHLETES AT INTER SCHOOL LEVEL”naltrexone information go vivitrol uk |
| |
|
7875 | Jasna P. |  | | DEMONETIZATION AND CASHLESS ECONOMY |
| |
|
7874 | Anubhav Kukareti and Vivek Srivastava |  | | SERVICE CONTRACTS: AN UNDER LOOKED AREA OF OVER PRICING AND UNDER PERFORMANCE, A TACTICAL IMPLEMENTATION - CASE STUDY |
| |
|
7872 | Mr. Kuldeep Chokhaji Waghmare and Dr. Uttamrao G. Jagdale |  | | CROP CONCENTRATION IN BARAMATI TEHSIL, DISTRICT- PUNE (MAHARASHTRA) : A GEOGRAPHICAL ANALYSIS |
| |
|
7871 | Dr. Pallabi Saikia |  | | CASE MARKERS IN KARBI LANGUAGE |
| |
|
7866 | Dr. Vaishampayan Mohan Rajaram |  | | SOIL CHARACTERISTICS OF ANER BASIN IN SATPUDA MOUNTAIN |
| |
|
7862 | कृष्णा कुमारी शर्मा |  | | दुष्यंत कुमार की ग़ज़लों में आम जीवन का वास्तविकताओं का चित्रण |
| |
|
7858 | Shikha Serva and Dr.Meena Sirola |  | | MINIMUM LEVELS OF LEARNING (MLL) IN ENVIRONMENTAL STUDIES (EVS) AMONG PRIMARY SCHOOL STUDENTS OF TONK DISTRICT |
| |
|
7857 | Mukesh Trivedi and Dr. D R Raste |  | | FINANCIAL STATUES OF INDIAN AGRICULTURE SOCIETY |
| |
|
7856 | Sanjeev Kumar Mishra |  | | A COMPARATIVE STUDY OF ADULT LITERACY RATES OF MALES AND FEMALES IN INDIA |
| |
|
7855 | Neeraj Tanwar and Sunder Singh Tanwar |  | | TECHNOLOGICAL ADVANCEMENTS IN LIBRARIES: RFID (RADIO FREQUENCY IDENTIFICATION) |
| |
|
7854 | शिवशंकर नापित एवं डाॅ. रमाशंकर द्विवेदी |  | | ‘‘आत्मतत्व का ज्ञान मुक्ति का उपाय’’ |
| |
|
7853 | Nijamuddin Ali, Atiar Rahaman, Nandan Paul, Itika Ghosh and Sk. Rashed Ali |  | | ICT AWARENESS AMONG THE SECONDARY STUDENTS |
| |
|
7852 | Suraj Singh Pawar and Dr. Yuvraj Singh |  | | STATUS STUDY ON QUALITY FREQUENCY OF USE AND LEVEL OF SATISFACTION AMONG STUDENTS REGARDING SPORTS EQUIPMENTS AND FACILITIES IN GOVERNMENT SCHOOLS OF DELHI |
| |
|
7851 | Mr. Sumit B. Powar, Mr. Kunal R. Surati, Mr. Yogesh A. Sawant1, Mr. Ashish R. Jatti, Mr. Sagar R. Zirmite and Mr. Vinayak B. Patil |  | | A REVIEW PAPER ON EFFECTS OF RBI GRADE 81 ON PROPERTIES OF RED SOIL. |
| |
|
7850 | Chatta Bala Swamy |  | | TEACHING ENGLISH AT UNDER GRADUATE LEVEL IN AN EFL CONTEXT: A STUDY OF SAUDI ARABIAN STUDENTS IN PRINCE SATTAM BIN ABDULAZIZ UNIVERSITY
|
| |
|
7849 | Mrs. Aruna R Kharwade and Dr. Mrs. Varsha S Zanvar |  | | CONSUMPTION PATTERN OF FEMALE FARM LABOURERS (AGE 20- 40 YEARS) |
| |
|
7848 | Dr. V. R. Shinde and Patil Tushar Sakharam |  | | TO STUDY THE ROLE OF ANXIETY LEVEL ON ACHIEVEMENT MOTIVATION OF COLLEGE STUDENTS’ |
| |
|
7847 | Mrs. T. Dhanalakshmi |  | | MUSIC IN SANGAM PERIOD |
| |
|
7846 | Modafar Nayel Hwashel Alhroob and Borhan Omar Ahmad Al-Dalaien |  | | IMPACT OF CORPORATE GOVERNANCE ON THE FINANCIAL PERFORMANCE OF SELECTED JORDANIAN BANKS |
| |
|
7845 | Hemlata |  | | AN ANALYSIS OF CONSUMER BUYING BEHAVIOR AND THE STRATEGIES OF RETAILERS DURING FESTIVE SEASON |
| |
|
7843 | Dr. T. Sujatha |  | | ACTIVITY BASED GRAMMAR TEACHING |
| |
|
7841 | Nidhu Neena Varghese |  | | SPOKEN ENGLISH STRATEGIES: A VEHICLE FOR IMPROVING COMMUNICATION SKILLS AMONG POSTGRADUATE TEACHER EDUCANDS |
| |
|
7840 | Manikandan A. |  | | INFLUENCE OF FINANCIAL LITERACY ON THE FINANCIAL INCLUSION: A BASIC ANALYSIS |
| |
|
7839 | Dr. S. J. Awate |  | | RURAL TOURISM DEVELOPMENT AND GOVERNMENT POLICY: A CASE STUDY OF SOLAPUR DISTRICT |
| |
|
7837 | Prof. Tanu Sachdeva and Prof. Jasneet Soni |  | | NEW BEGINNINGS IN INDIAN FINANCIAL SYSTEM |
| |
|
7829 | प्रा.मृणाल प्रभाकरराव कडू |  | | रागों मे स्त्री तत्वों की संकल्पना |
| |
|
7828 | प्रा. लखपती वा. गायकवाड |  | | बौद्धधर्म – मानवी धर्म |
| |
|
7823 | Prof. Barkade Jagannath Dagadu |  | | SPATIAL DISTRIBUTION OF SEX RATION: YERALA RIVER BASIN |
| |
|
7822 | Mrs. Manjusha Mathapati |  | | ELECTRONIC BANKING IN INDIA: AN EVALUATION OF OPPORTUNITIES AND THREATS FOR CUSTOMERS |
| |
|
7821 | प्रा. साधना देशमुख |  | | उच्च शिक्षणासमोरील आव्हाने |
| |
|
7820 | डॉ. बाळासाहेब निर्मळ |  | | भारतीय सार्वजनिक उपक्रम आणि आंतरराष्ट्रीय व्यापार |
| |
|
7819 | प्रा. एन.व्ही. शिंदे |  | | नव्वदोत्तरी ग्रामीण काव्यसंग्रहांतील पर्यावरणीय भान |
| |
|
7817 | श्री सूर्यवंशी एस. डी. |  | | महाराष्ट्राच्या आर्थिक विकासाचा राजमार्ग सेवा क्षेत्र |
| |
|
7816 | Dr. K. V. Chamundeswaramma and Dr. M. Sreeramulu |  | WOMEN’S EDUCATION IN INDIAnaltrexone information go vivitrol uk |
| |
|
7804 | Furrukh Faizan Mir |  | | WAR AND LITERATURE: A SURVEY OF AMERICAN NOVELISTS’ REACTION TO CIVIL WAR AND WWI |
| |
|
7803 | S. Jayaprakash |  | | CAN MAN BE CALLED AS ORGANIC COMPUTER? |
| |
|
7802 | Dr. Ashokkumar B. Surapur |  | | A STUDY ON EFFECT OF ANXIETY LEVEL AMONG URBAN AND RURAL FEMALE PROSPECTIVE TEACHERS. |
| |
|
7796 | Ahirrao K. D. and Patole S.S. |  | | “DIVERSITY OF GASTROPODS IN THE BORI RIVER DAM, AT TAMASWADI, TAL- PAROLA, DISTRICT JALGAON (MS), INDIA”. |
| |
|
7794 | Ramsheena C. A. |  | | BACKWARDNESS OF INDIAN MUSLIMS: PROBLEMS AND PERSPECTIVES |
| |
|