8912 | Dr. K. Shanmukhappa |  | | USER EDUCATION - USE OF LIBRARY COLLECTION IN OPEN SOURCES IN DIGITAL ERA |
| |
|
8831 | प्रा. उज्ज्वला दा. लोणकर |  | | जागतिक तापमान वाढ व शिक्षण |
| |
|
8827 | Roshan Khan and Dr. Abdul Bari |  | | COMPARATIVE STUDY OF DIFFERENT METHODS OF COMMUNICATION AND THEIR IMPACT ON SERVICE SECTORS IN NAGPUR REGION: A CASE OF ASSESS VARIOUS ASPECTS OF IT SERVICES PROVIDED BY FINANCIAL INSTITUTES |
| |
|
8816 | प्रा. बोडखे संजीव सुखलाल |  | | डॉ. बाबासाहेब आंबेडकरांचे वर्ण-जातीव्यवस्था विषयक विचार |
| |
|
8737 | Dr. Deepak Sharma |  | | A STUDY ON KINEMATIC ANALYSIS OF VOLLEY KICK OF GOALKEEPERS IN SOCCER |
| |
|
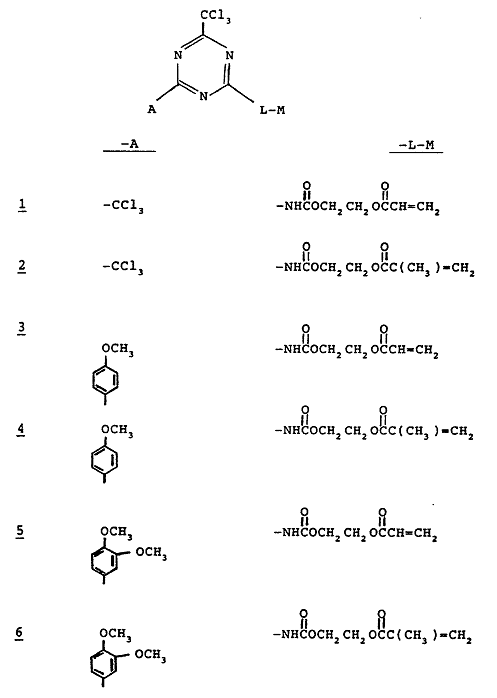
8676 | S. V. Patil |  | | SYNTHESIS AND CHARACTERIZATION OF S-TRIAZINE CONTAINING POLYESTERS WITH NAPHTHOXY PENDENT GROUP |
| |
|
8265 | डाॅ.मंजुला भालसे, डाॅ. रेखा आचार्य रिडर |  | | इंदिरा सागर परियोजना से विस्थापितों के व्यवसायिक ढाँचे का अध्ययन |
| |
|
6189 | D. V. Ingle |  | | A STUDY OF DEVELOPMENTAL ISSUES IN SUPPLY CHAIN MANAGEMENT |
| |
|
6128 | Shivaganga .U. Bilagundi |  | | A Criticism study of ‘Peruvina Pavitra Kanivelhi’ by Nimichandra. |
| |
|
5978 | Avanesh Kumar Singh |  | | FOREST FIRE: VULNERABILITY ANALYSIS OF WESTERN HIMALAYAN REGION USING REMOTE SENSING AND GIS TECHNIQUES |
| |
|
5577 | S. D. Kuduk |  | | STUDYOFLOANS AND ADV ANCES IN P ARSIK JANA T ASAHAKARI BANK DURING YEAR 1990-2004 |
| |
|
5427 | S. K. Kuduk |  | | STUDY OF LOANS AND ADVANCES IN PARSIK JANATA SAHAKARI BANK DURING YEAR 1990-2004. |
| |
|
4424 | Radhika Inamdar |  | | NEW MODIFIED SYSTEM MODEL |
| |
|
4389 | Koti Santosh Vijaykumar |  | | पु. शि.रेगे यांची प्रेमकविता |
| |
|
3990 | Dilip D. Gaikwad |  | | POPULATION CHANGES IN VILLAGES OF SANGLI DISTRICT |
| |
|
3662 | Anasuya M. Kadam |  | | KNOWLEDGE AND AWARENESS OF THE HIGH SCHOOL FEMALE TEACHERS ON INFORMATION AND COMMUNICATION TECHNOLOGY |
| |
|
3423 | Choudhari Govind Pandurang |  | | ANALYTICAL STUDY OF AGRICULTURE INPUT PROBLEMS OF FARMERS, RETAILERS AND COMMISSION AGENTS BEFORE AGRICULTURE DEVELOPMENT IN NANDED DISTRICT |
| |
|
3408 | चंद्रिकासिंह सोमवंशी , जसवंतकुमार प्रेमजी भाई चौधरी |  | | प्राचीन भारतीय इतिहास संस्कृती और पुरातत्वशास्त्र संगीत शास्त्र का प्राचीन इतिहास और कच्छ के संगीत |
| |
|
3406 | Dnyaneshwar M. Sirsat , Madhusudhan T. Bachute |  | | GREEN PROTOCOL FOR THE SYNTHESIS OF β-ENAMINOKETONES |
| |
|
3368 | R.J. Moharkar |  | | Transportation and Communication Facilities in Solapur city |
| |
|
3307 | पूजा कुमारी |  | | भागलपुर जिला में जनसंख्या वृद्धि तथा लिंगानुपात में त्वरित परिवर्तन का अध्ययन (२००१-२०११) |
| |
|
3306 | Parisa Talebi |  | | LANDSCAPE OF MIND IN THE FIRE DWELLERS BY MARGARET LAURENCE |
| |
|
3304 | साळुंखे सी.एम. , नागलगावे बी.एन. , साळुंखे जे.बी. |  | | माळशिरस तालुक्यातील मातीपरिक्षणानुसार जमिनीतील मुख्य अन्नद्रव्यांचा अभ्यास |
| |
|
3302 | विद्या विजय कुरडे |  | | शिरोळ तालुक्यातील चावडी जळीत प्रकरण व क्रांतिकारकांचे साहसी पलायन |
| |
|
3301 | संजय हिंदुराव संदे |  | | जातीय दहशतवाद : एक समाजशास्त्रीय अभ्यास |
| |
|
3300 | Shagalolu V.V. , Rao K.R. ,E. Bhikshapati |  | | EXPRESSION OF VARIOUS PROTEINS IN HOUSEFLY MAGGOTS |
| |
|
3299 | H. A. Chougule |  | | TOURISM INDUSTRY : PROBLEMS AND PROSPECTS |
| |
|
3297 | P. Kamaludeen , V. Thamodaran |  | | ROLE OF INFORMATION TECHNOLOGY IN UNIT LINKED INSURANCE PLANS MARKETING |
| |
|
3295 | Ali Qadimi, Roghaiyeh Shahani Shalmani , Praveena K. B. , Moslem Cherabin , Mohammad Bagher Ghadimi |  | | ROLE OVER LOAD, ROLE AMBIGUITY AND ROLE CONFLICT OF SCHOOL TEACHERS: GENDER DIFFERENCES |
| |
|
3294 | Roghaiyeh Shahani Shalmani , Ali Qadimi , Praveena, K. B. , Moslem Cherabin , Mohammad Bagher Ghadimi |  | | PERCEIVED LEADERSHIP BEHAVIOR IN PRIVATE AND GOVERNMENT SCHOOLS |
| |
|
3292 | Deore S. K., Agnihotri G. M. |  | | NANOTECHNOLOGY: AN OPPORTUNITY AND NEW CHALLENGE IN PSYCHOLOGY |
| |
|
3286 | V. Raji Sugumar , A. Anitha |  | | CORRELATES OF OBESITY AMONG ADOLESCENT GIRLS IN PUDUCHERRY |
| |
|
3284 | Sudhira A. , Kamakshamma J. , Venkateswara Rao S. |  | | EFFECACY OF Strychnos colubrina L. EXTRACT ON BLOOD GLUCOSE, PLASMA INSULIN AND TISSUE GLYCOPROTEINS IN STREPTOZOTOCIN INDUCED DIABETIC RATS |
| |
|
3283 | Shilpi Dhall , Nidhi Vats |  | | TO STUDY THE SOCIO ECONOMIC STATUS OF THE EMPLOYEES IN COTTAGE HAND PRINT INDUSTRIES OF SANGANER, RAJASTHAN |
| |
|
3282 | S. Elumalai , R. Sakthivel , A. Mohammed Halith |  | | BIODIVERSITY OF FRESH WATER ALGAE FROM PRESIDENCY COLLEGE CAMPUS, CHENNAI, INDIA |
| |
|
3281 | Rakhi Upadhyay , J. V. S. Rauthan |  | | WILD LIFE TOURISM AND ECOTOURISM IN UTTARAKHAND |
| |
|
3280 | M. Prabhakaran , S. Elumalai |  | | HISTOCHEMICAL AND ANATOMICAL STUDY OF HELICOVERPA ARMIGERA ATTACKED AND HEALTHY PIGEON PEA (CAJANUS CAJAN (L.) MILLSP.) PODS |
| |
|
3276 | Chinta Praveen Kumar |  | | REALITY OF SISYPHUS |
| |
|
3274 | Anand Kumar Gupta |  | | TSDC STUDY ON PURE PVF AND PVF/PVDF ISOMORPHIC POLYBLENDS |
| |
|
3271 | भिसे काळुराम नथू |  | | इयत्ता ८ वी च्या इतिहास विषयाच्या सविनय कायदेभंग या घटकांवर आधारित संगणक सहायिय्त अनुदेशन कार्यक्रम निर्मिती व त्याच्या परिणामकारकतेचा अभ्यास |
| |
|
3270 | वायसे गोवर्धन कल्याण |  | | “ भारतातील शेतमजुरांची आर्थिक स्थिती : एक अभ्यास ” |
| |
|
3269 | सुभाष रामकृष्ण गुंडावार |  | | वेट ट्रेनिंग या प्रशिक्षणाचा १४ ते १६ शालेय स्तरावरील विद्यार्थ्यांच्या गोळाफेक कौशल्य संपादनावर होणा-या अभ्यास ” |
| |
|
3268 | पी.आर.पुंडकर |  | | लोकनाट्य : दंढार |
| |
|
3266 | निशा वालिया |  | | नई सहस्त्राब्दी में महिला विकास परम्परा और प्रासंगिकता के सन्दर्भ में |
| |
|
3265 | मृणाल प्र. कडू |  | | स्वरांची आधुनिक स्थिती |
| |
|
3264 | महेश आनंदराव मगर ,शिवाजी किशनराव बल्लोरे |  | | मागासवर्गीय महिलांचा सीनिक स्वराज्य संस्थेमधील सहभाग (संदर्भ : वाषिम जिल्हा ) |
| |
|
3263 | Vikramsingh , Pratapsingh , Anithasingh A. Hazeri |  | | ” HUMAN DEVELOPMENT AMONG SOCIAL GROUPS: A CASE STUDY OF RAICHUR DISTRICT” |
| |
|
3261 | Tatugade Ashwini Pravin |  | | AN EXPLORATION OF LINKAGE OF INDIAN MYTHOLOGY IN BHARATI MUKHERJEE'S JASMINE AND THE HOLDER OF THE WORLD |
| |
|
3260 | Sunitha R., J. K. Raju |  | | INFORMATION TECHNOLOGY FACILITIES IN CO-OPERATIVE BANKING SECTOR –A CASE STUDY OF DAVANGERE DISTRICT |
| |
|
3259 | Sonali B. Daithankar (Pangrikar) |  | | “ SELF CONFIDENCE, EMOTIONAL INTELLIGENCE ON ATHLETIC AND NON-ATHLETIC COLLEGE STUDENTS.” |
| |
|
3258 | Seema Dhawan |  | | ASSESSMENT FOR LEARNING : TEACHER AS LEARNING MANAGER |
| |
|
3257 | Satish Kumar |  | | KNOWLEDGE MANAGEMENT IN ORGANISATIONS: AN INTRODUCTION & PROSPECTIVE |
| |
|
3254 | S. Bulomine Regi , S. Anthony Rahul Golden, C. Eugine Franco |  | | “ ROLE OF COMMERCIAL BANK IN THE GROWTH OF MICRO AND SMALL ENTERPRISES” |
| |
|
3252 | Ramananda Roy |  | | PROSPECT OF MANGO CULTURE IN MALDA DISTRICT OF WEST BENGAL; INDIA |
| |
|
3250 | Rahul Kumar Prasad , M. S. Dhapola |  | | EFFECT OF EIGHT WEEKS S.A.Q. TRAINING PROGRAMME ONSELECTED PHYSICAL FITNESS VARIABLES |
| |
|
3249 | R. N. Patil , J. S. Kadam , J. A. Chavan , A. J. Salunkhe |  | | ANTHELMINTIC ACTIVITY OF ETHANOLIC BUD EXTRACT OF SYZYGIUM AROMATICUM AGAINST PHERETIMA POSTHUMA |
| |
|
3248 | Quadri syed javeed |  | | “A STUDY OF EMOTIONAL INTELLIGENCE AND SELF ESTEEM OF SPORTSMEN AND NON-SPORTSMEN” |
| |
|
3247 | P. Senthil Kumari, N. Senthil Kumar |  | | BIODEGRADATION OF FEATHERS BY THE MICROORGANISMS PRESENT IN THE POULTRY WASTES AND ENHANCE ITS ACTIVITY BY MUTATION |
| |
|
3246 | P. Anbuoli , T. R. Thiruven Kat Raj |  | | A STUDY ON CUSTOMER RELATIONSHIP MANAGEMENT IN BANKS |
| |
|
3244 | Mehar Singh |  | | INFORMATION TECHNOLOGY APPLICATIONS IN TECHNICAL INSTITUTE LIBRARIES OF KARNAL, HARYANA |
| |
|
3243 | Manjramkar Manisha Anantrao |  | | PERCEPTIONS OF PARENTS REGARDING EDUATION OF THEIR CHILDREN STUDYING IN ASHRAM SCHOOL : A CASE STUDY OF PARENTS IN NANDED DISTRICT, (Mah). |
| |
|
3242 | रेखा भरत पाटील |  | | “ बी . एड. प्रशिक्षणाचा अध्यापन अभिवृत्ती यावर होणा-या परिणामांचा अभ्यास ” |
| |
|
3241 | M. D. Sangale |  | | “STUDY OF PHYSICO CHEMICAL PARAMETARS AND METALS DETERMINED BY DIFFERENT ANALYSIS METHODS FROM CHEMICAL DIVISION IN SANJIVANI SAHAKARI SAKHAR KARKHANA LIMITED, SAHAJANANDNAGAR, TAL – KOPARGAON (M. S.) (INDIA).” |
| |
|
3240 | Kulwinder Singh |  | | SCOPE OF ADVENTURE SPORTS IN UTTARAKHAND |
| |
|
3239 | Pratima Singh, Suni Mathew |  | | A COMPARATIVE STUDY OF THE FACTORS PREDICTING THE RECALL OF GEOMETRIC TERMS AMONG STUDENTS WITH AND WITHOUT HEARING IMPAIRMENT |
| |
|
3238 | K. Muthu Maha Laxmi |  | | A STUDY ON PROBLEMS OF WORKING WOMEN EMPLOYEES IN THE PUBLIC SECTOR COMMERCIAL BANKS IN TUTICORIN CITY |
| |
|